Shandong Science ›› 2025, Vol. 38 ›› Issue (6): 1-9.doi: 10.3976/j.issn.1002-4026.2025054

• Oceanographic Science,Technology and Equipment •     Next Articles

Development of a dual-wavelength instrument for measuring the volume scattering function of aquatic particles

TAO Bangyi1(), HAN Chang1,2, LI Yunzhou3,*(), PAN Yaorui1,4, LI Changpeng1,4, MAO Zhihua1,2   

  1. 1. State Key Laboratory of Satellite Ocean Environment Dynamics, Second Institute of Oceanography, Ministry of Natural Resources, Hangzhou 310012, China
    2. School of Oceanography, Shanghai Jiao Tong University, Shanghai 200030, China
    3. State Key Laboratory of Physical Oceanography, Institute of Oceanographic Instrumentation, Qilu University of Technology (Shandong Academy of Sciences), Qingdao 266061, China
    4. Ocean College, Zhejiang University, Zhoushan 316021, China
  • Received:2025-05-11 Revised:2025-09-23 Published:2025-12-20 Online:2025-11-18
  • Contact: LI Yunzhou E-mail:taobangyi@sio.org.cn;lyz@qlu.edu.cn

Abstract:

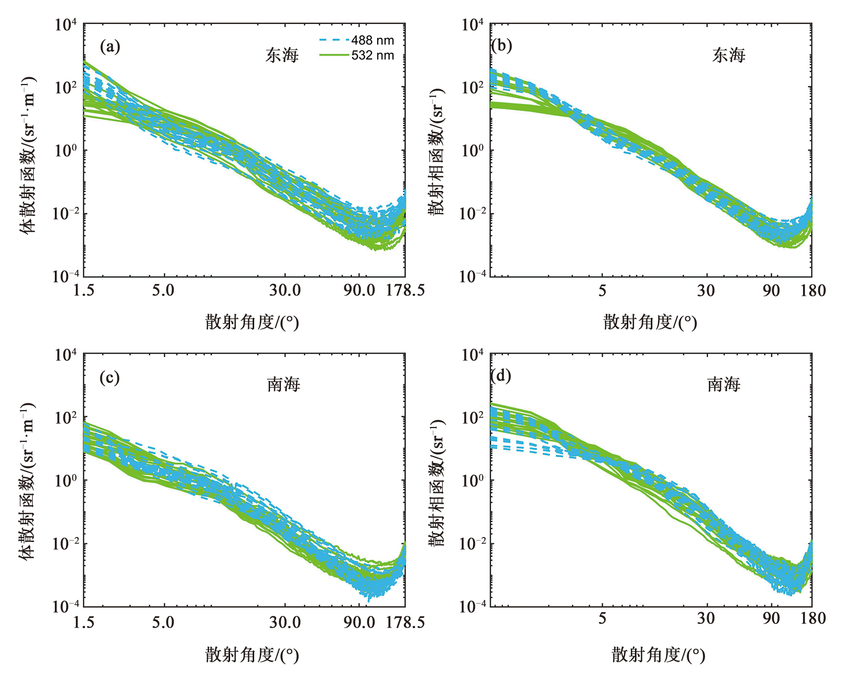
The volume scattering function (VSF) of aquatic particles is one of the most important inherent optical properties of water. However, a VSF measurement instrument in China that can cover multiple wavelengths and a wide angular range remains to be investigated. Herein, we developed a dual-wavelength (488 nm and 532 nm) aquatic particle VSF measurement system that integrates dual-periscope optical configuration with a rotating detector. This system enables VSF measurements across a scattering angle range of 1.5°~178.5° for both wavelengths. According to the optical configuration and radiative transfer principles of the system, baseline correction, angular calibration, and amplitude calibration experiments were conducted on the system. The measurement results for 3 μm polystyrene standard particles agreed well with the Mie scattering theoretical values, demonstrating the VSF measurement accuracy of the system. The system was used to perform dual-wavelength VSF measurements of natural seawater particles from the East China Sea and South China Sea and to analyze the differences in VSF characteristics between the two wavelengths. The measured VSFs can provide a basis for VSF parameterization in the radiative transfer models. In addition, asymmetry factors were calculated from the measured data to analyze the differences in scattering characteristics between the two wavelengths from the volume scattering perspective.

Key words: ocean optics, volume scattering function, scattering phase function, asymmetry factor, aquatic particle, optical properties of water, scattering measurement

CLC Number: 

  • P714

Open Access This article is licensed under a Creative Commons Attribution-NonCommercial 4.0 International License (CC BY-NC 4.0), which permits third parties to freely share (i.e., copy and redistribute the material in any medium or format) and adapt (i.e., remix, transform, or build upon the material) the articles published in this journal, provided that appropriate credit is given, a link to the license is provided, and any changes made are indicated. The material may not be used for commercial purposes. For details of the CC BY-NC 4.0 license, please visit: https://creativecommons.org/licenses/by-nc/4.0