山东科学 ›› 2025, Vol. 38 ›› Issue (6): 69-76.doi: 10.3976/j.issn.1002-4026.20240157

• 农业微生物 • 上一篇    下一篇

羊肚菌深层发酵条件优化及抗氧化活性的研究

廉涵宇a, 郑志祺a, 于晴a, 王佳慧a, 沙玉杰b,*, 曲杰b   

  1. 德州学院 a. 别尔哥罗德食品科学学院;b. 生物物理研究院 山东省生物物理重点实验室 山东 德州 253023
  • 收稿日期:2024-12-20 修回日期:2025-04-22 出版日期:2025-12-20 上线日期:2025-07-17
  • 通信作者: 沙玉杰
  • 作者简介:廉涵宇,男,本科生,研究方向为食品微生物。
  • 基金资助:
    国家自然科学基金青年项目(31802309)

Research on optimization of deep fermentation conditions for Morchella and its antioxidant activity

LIAN Hanyua, ZHENG Zhiqia, YU Qinga, WANG Jiahuia, SHA Yujieb,*, QU Jieb   

  1. a. Belgorod College of Food Sciences; b. Shandong Key Laboratory of Biophysics, Institute of Biophysics, Dezhou University, Dezhou 253023, China
  • Received:2024-12-20 Revised:2025-04-22 Published:2025-12-20 Online:2025-07-17
  • Contact: SHA Yujie

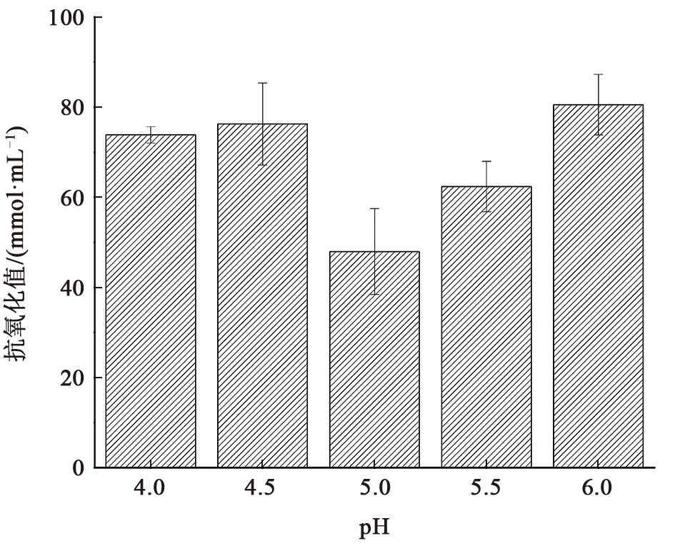
摘要: 为提高羊肚菌发酵液的总抗氧化活性,采用单因素和响应面法优化羊肚菌发酵培养基组成和培养条件。通过单因素实验,分别改变发酵培养基中蔗糖、酵母粉、(NH4)2SO4、KH2PO4、MgSO4·7H2O质量浓度以及pH,以发酵液的总抗氧化值为指标进行筛选。之后根据单因素实验结果,选择3个主要影响因素进行响应面设计(Box-Behnken)实验,并通过Design-Expert软件进行方差分析以及回归分析。结果表明,发酵培养基成分为酵母粉4.3 g/L、蔗糖32 g/L、MgSO4·7H2O 1.5 g/L、KH2PO4 1.4 g/L、(NH4)2SO4 2.5 g/L和pH为6时对羊肚菌发酵液抗氧化值的提升显著,并且培养基配制成本低廉。该研究结果为羊肚菌发酵产业提供理论依据和实践指导,有助于提高羊肚菌发酵产品的质量和抗氧化性能,进一步推动羊肚菌在保健品、化妆品等领域的应用。

关键词: 羊肚菌, 抗氧化, 响应面法, 发酵, 培养基优化, 单因素实验

Abstract:

To improve the total antioxidant activity of fermented Morchella, single-factor experiments and response surface methodology were used to optimize the composition and culture conditions of the fermentation medium. In the single-factor experiments, the concentrations of sucrose, yeast powder,(NH4)2SO4, KH2PO4, and MgSO4·7H2O, as well as pH value in the fermentation medium were changed, to screen for optimal conditions based on the total antioxidant value of the fermentation broth. Then, based on the results of the single-factor experiments, three main influencing factors were selected for the Box-Behnken response surface design, and variance analysis and regression analysis were carried out using Design-Expert software. The results showed that the optimal composition of the medium was: yeast extract 4.3 g/L, sucrose 32 g/L, MgSO4·7H2O 1.5 g/L, KH2PO4 1.4 g/L, (NH4)2SO4 2.5 g/L, and a pH of 6. These conditions significantly enhanced the antioxidant activity of the fermentation broth and were cost-effective. The findings of this study provide theoretical and practical guidance for the Morchella fermentation industry, help to improve the quality and antioxidant performance of Morchella fermentation products, and further promote the applications of Morchella in health supplements, cosmetics, and other fields.

Key words: Morchella, antioxidant, response surface methodolgy, fermentation, medium optimization, single-factor experiment

中图分类号: 

  • S182

开放获取 本文遵循知识共享-署名-非商业性4.0国际许可协议(CC BY-NC 4.0),允许第三方对本刊发表的论文自由共享(即在任何媒介以任何形式复制、发行原文)、演绎(即修改、转换或以原文为基础进行创作),必须给出适当的署名,提供指向本文许可协议的链接,同时表明是否对原文作了修改,不得将本文用于商业目的。CC BY-NC 4.0许可协议详情请访问 https://creativecommons.org/licenses/by-nc/4.0