压缩sCO2储能系统动态特性仿真
Study on supercritical carbon dioxide energy storage system and its operating characteristics
通信作者:
收稿日期: 2023-09-1
| 基金资助: |
|
Received: 2023-09-1
作者简介 About authors
姜佳晖(1999—),男,硕士研究生,研究方向为压缩二氧化碳储能E-mail:
压缩超临界二氧化碳(sCO2)储能作为一种新型储能方式,具有储能密度大,结构紧凑,使用寿命长,负碳排放等优点,因此,在能源储存转化等方面有着广阔的应用前景。基于质量守恒和能量守恒定律,建立了压缩sCO2储能系统(SC-CCES)的动态数学模型,并完成了模型可靠性的验证;采用Matlab及Simulink软件实现了单级压缩和单级膨胀的SC-CCES系统动态特性仿真,设计工况下SC-CCES系统的储能效率为51.98%,储能密度为447.8 kWh/m3,其储能密度是传统压缩空气储能系统储能密度的20倍以上;分析了不同高压储罐入口压力对系统性能的影响,结果表明储能效率随高压储罐入口压力的增大而增大,储能密度则恰好相反。此研究为压缩二氧化碳储能的发展提供了基础。
关键词:
As a novel energy storage method, compressed supercritical carbon dioxide (sCO2) energy storage offers several advantages, such as high energy storage density, compact structure, long service life, and negative carbon emissions. Therefore, it has a broad application prospect in the energy storage and conversion. In this study, a dynamic mathematical model for the compressed sCO2 energy storage system (SC-CCES) was established based on the mass conservation and energy conservation laws and the reliability of the model was verified. Additionally, dynamic simulations of the SC-CCES system with single-stage compression and single-stage expansion were performed using Matlab/Simulink. Under the designed operating conditions, the energy storage efficiency of the SC-CCES system was found to be 51.98%, with an energy storage density of 447.8 kWh/m3. The energy storage density of the SC-CCES system was more than 20 times higher than that of a traditional compressed air energy storage system. Furthermore, the impact of different high-pressure tank inlet pressures on system performance was analyzed. The results showed that the energy storage efficiency increases with the increase of the inlet pressure of the high-pressure storage tank, while the energy storage density is exactly the opposite. This study provides a basis for the development of compressed carbon dioxide energy storage.
Keywords:
本文引用格式
姜佳晖, 王子杰, 池冉, 陈伟, 薛小代, 张通, 张学林, 张斌.
JIANG Jiahui.
开放科学(资源服务)标志码(OSID): 
近年来世界能源需求量的增加和化石能源造成的环境污染日益严重,因此大力发展可持续能源建设,构建减碳、零碳、负碳的新式能源体系已成为我国能源建设的重要目标。如今风能和太阳能已发展为颇具规模的可再生能源发电技术。然而,风电、光电具有间歇性、波动性和随机性的特点,影响了电网的电能质量和运行稳定性[1]。解决这一问题的有效方法便是发展储能技术。
sCO2(超临界二氧化碳)具有良好的热稳定性、无毒、不燃烧,且具有更高的临界密度,因此使用sCO2作为压缩气体储能的介质将能够大幅提升系统的储能密度。同时,压缩sCO2储能系统实现了CO2的资源化利用,是一种非常具有潜力的储能方式[6]。
主流的压缩CO2储能技术主要有跨临界CO2系统(TC-CCES)、超临界CO2系统(SC-CCES)和液态CO2系统(LCES)。郝银萍[7]针对TC-CCES系统进行了稳态性能仿真,研究了TC-CCES系统的稳态热力学特性和经济性。宋飘飘[8]提出了一种半封闭式的SC-CAES系统,并通过仿真模拟研究了系统循环参数和循环形式对稳态循环性能的影响。Wang等[9]提出了一种液态二氧化碳储能系统,并且研究了关键参数对系统性能的影响。LCES由于储冷设备和储冷效率的限制,尚无法实现工程应用。前期研究表明TC-CCES和SC-CCES系统具有优良的储能特性,但是,目前绝大多数的研究均是基于设计工况的稳态特性研究,鲜有关于CCES的动态特性仿真研究。
基于当前研究现状,我们建立了SC-CCES系统的动态仿真数学模型,并对数学模型进行了可靠性验证。基于动态特性仿真,研究了SC-CCES系统的瞬态运行特性,准确计算了储能系统的储能效率和能量密度,且将SC-CCES系统的储能密度与压缩空气储能系统进行了对比。
1 SC-CCES系统
图1显示的是SC-CCES系统原理图。该系统由低压储罐(LST)、压缩机(C)、换热器(X、R)、高压储罐(HST)、汽轮机(T)、冷罐(COT)、热罐(HOT)构成。系统运行分为储能过程和释能过程。
图1
储能过程:低压储罐中的sCO2经过由外部电源供电的压缩机压缩,得到高温高压的sCO2,再经由换热器X降温后通入高压储罐中,换热器X中的导热油吸收热量后进入热罐中储存热量,电能转换为sCO2的势能和导热油的热能。
释能过程:高压储罐中的sCO2经过换热器R加热后变为高温高压的工作流体,流体进入汽轮机做功发电,sCO2的压力温度下降,进入低压储罐中保存,势能和热能转化为电能输出,至此循环完成。
2 数学模型
2.1 模型假设及符号定义
为建立SC-CCES系统的动态数学模型,我们采用如下合理的假设:
(1)所有压缩、膨胀过程都是绝热的,压缩机的设计绝热压缩效率为0.8,汽轮机的绝热效率为0.9;
(2)忽略压缩机、储气罐、换热器等设备中的热损失;
(3)忽略换热器的热惯量,换热器工况能够快速达到稳态;
(4)压力损失与CO2的质量流量成正比;
(5)CO2作为实际气体处理,CO2的物性通过调用REFProp软件参数实现。
本文所用符号及定义如表1所示。文中上标·表示相对参数,下标0表示设计参数,下标1,2,…,9表示状态点,下标oil表示导热油,下标in表示入口参数,下标out表示出口参数,下标C表示压缩机,下标T表示汽轮机。
表1 本文所用符号及定义
Table 1
| 符号 | 定义 | 单位 | 符号 | 定义 | 单位 |
|---|---|---|---|---|---|
| P | 压力 | MPa | Δ | 参数差值 | |
| v | 比体积 | m3/kg | h | 效率 | |
| u | 比热力学能 | kJ/kg | τ | 时间 | s |
| h | 比焓 | kJ/kg | e | 压比 | |
| s | 比熵 | kJ/( kg·K) | ρ | 密度 | kg/m-3 |
| qm | 质量流量 | kg/s | N | 缩减转速 | r/min |
| n | 转速 | r/min | Cp | 定压比热容 | kJ·kg/K |
| k | 绝热系数 | V | 体积 | m3 | |
| W | 功率 | kW | G | 缩减流量 | m·s·K0.5 |
| Q | 换热量 | kW | AU | 总导热系数 | kJ/K |
| T | 温度 | K |
2.2 模型建立
2.2.1 离心式压缩机
压缩机的瞬时功率W计算公式如下:
离心式压缩机的
其中,
2.2.2 储气罐模型
2.2.3 汽轮机模型
根据热力学理论,汽轮机能量交换的过程为绝热过程,瞬时功率如下:
汽轮机的
2.2.4 换热器模型
换热器的热惯量忽略不计,换热器处于稳定状态,以换热器X为例,其能量平衡如下[14]:
上式中
为更好评估系统,采用以下指标来评估系统性能。
储能效率[16]:
储能密度:
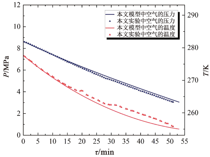
2.3 模型验证
图2
图3
图4
3 运行结果分析与讨论
3.1 设计工况
表2给出了系统模型的基本设计参数。
表2 基本模型的设计参数
Table 2
| 组件 | 设计条件下的参数 | 数值 | 组件 | 设计条件下的参数 | 数值 |
|---|---|---|---|---|---|
| C | 质量流量/(kg·s-1) 转速/(r·min-1) 压比 绝热效率 | 0.6 9 600 5 0.8 | T | 质量流量/(kg·s-1) 压比 绝热效率 | 0.6 5 0.9 |
| X | 质量流量/(kg·s-1) 导热油的质量流量/(kg·s-1) 总导热系数/( kJ·K-1) | 0.6 0.270 5 4.974 | LST | 体积/m3 初始压力/MPa 排气最低压力/MPa | 400 8.7 8 |
| R | 质量流量/(kg·s-1) 导热油的质量流量/(kg·s-1) 总导热系数/( kJ·K-1) | 0.6 0.554 6 15.02 | HST | 体积/m3 初始压力/MPa 最大压力/MPa 压力损失/Pa | 100 20 40 600 |
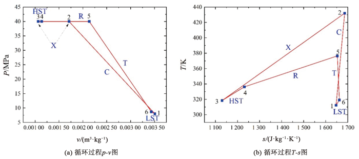
表3给出了设计工况下的状态点参数。状态点1~6为sCO2的热力学状态参数,其中从状态点5和状态点6可以看出sCO2的温度压力均下降,其比熵值不降反而略微升高,这是由于此次模拟将CO2当作实际气体处理,所以其比熵并非为温度的单值函数。状态点7至9为导热油的状态参数。状态点7为导热油的初始状态,规定其比熵值为0,初始温度为298.15 K。导热油在运行过程中比体积变化极其微小,因此将其视为定值。
表3 设计工况下的系统状态点参数
Table 3
| 状态点 | P/MPa | T/K | v/(m3·kg-1) | u/(kJ·kg-1) | h/(kJ·kg-1) | s/(kJ·kg-1·K-1) |
|---|---|---|---|---|---|---|
| 1 | 7.983 | 312.30 | 0.003 51 | 371.3 | 399.3 | 1.647 |
| 2 | 40.000 | 432.00 | 0.001 71 | 415.8 | 484.2 | 1.686 |
| 3 | 40.000 | 318.15 | 0.001 06 | 234.8 | 277.3 | 1.130 |
| 4 | 40.000 | 336.20 | 0.001 14 | 265.1 | 310.6 | 1.231 |
| 5 | 20.140 | 377.30 | 0.002 15 | 391.7 | 435.0 | 1.657 |
| 6 | 8.700 | 319.20 | 0.003 43 | 376.8 | 406.6 | 1.662 |
| 7 | 0.101 | 298.15 | 0.001 25 | 685.7 | 0.000 | |
| 8 | 0.101 | 383.30 | 0.001 25 | 881.6 | 0.578 | |
| 9 | 0.101 | 328.90 | 0.001 25 | 756.5 | 0.226 |
设计工况下SC-CCES系统的热力过程如图5所示。压缩储能过程中,LST中的sCO2初始温度为318.15 K,而经过状态点1时温度降为312.3 K,这归因于sCO2具备的内能转化为推动功,使其温度降低。之后经过压缩机压缩,sCO2的压力升至40 MPa,温度升至432 K,压缩机输入的机械能转化为sCO2的势能与热能,在此过程中sCO2的比体积减小,比熵值增大。压缩完成后的sCO2经过换热器X进行降温,由表2看出sCO2的比焓、比熵值降低,能量通过热传导的方式传给导热油,使导热油的温度由298.15 K升至383.3 K,换热后的导热油汇入热罐,完成热能的存储。降温后的高压低温的sCO2进入HST中储藏,储能过程完成后HST的温度升至336.2 K,这是由于sCO2的推动功转化为内能,导致其温度升高,比焓、比熵值上升。
图5
图5
设计工况下系统的热力过程图
Fig.5
Thermal process diagram of the system under designed conditions
释能过程中,储存在HST中的sCO2在释能过程经由换热器R加热,使其温度升高至377.3 K,比焓、比熵也随之升高。相反导热油的能量传至sCO2使自身温度降低至328.9 K,低温状态下的导热油汇入冷罐中等待下一次循环。加温后的高温高压sCO2进入汽轮机中做功,压力势能和热能耦合利用,产生电能供给电网。做功后的sCO2温度降至319.2 K,压力降至8.7 MPa,比热力学能与比焓值下降,而比熵值上升,这与sCO2的性质有关。做功后的sCO2进入LST中储存以便下一次循环。在整个热力学过程中,二氧化碳始终保持在超临界状态。
3.2 热力学第一定律分析
表4 P4=40 MPa时压缩过程的能量守恒
Table 4
| 组件 | 能量 | 数值/kW |
|---|---|---|
| C | 压缩功率WC | 26.54 |
| X | 换热量QX | -64.68 |
| 焓差 | 38.13 | |
| 压缩过程的总能量 | -0.01 |
表5 P4=20 MPa时膨胀过程的能量守恒
Table 5
| 组件 | 能量 | 数值/kW |
|---|---|---|
| R | 换热量QR | 74.78 |
| T | 膨胀功率WT | -13.50 |
| 焓差 | -61.28 | |
| 膨胀过程的总能量 | 0.00 |
图6
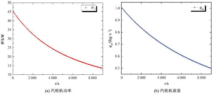
系统循环过程中压缩机总耗功为430.8 MJ,汽轮机做功223.9 MJ。换热器X的累计换热量为1 231 MJ,换热器R为679.4 MJ。系统在设计点运行时,储能效率为51.98%,储能密度为447.8 kWh/m3。传统压缩空气式储能的储能密度为2~20 kWh/m3[20]。由此可见SC-CCES系统储能密度是CAES的20倍以上。
3.3 高压罐入口压力对系统性能的影响
高压储罐入口压力对系统性能的影响如图7所示。随着高压储罐入口压力的升高,
图7
3.4 SC-CCES系统的动态特性
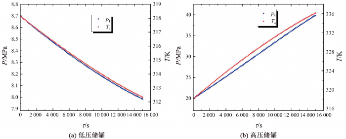
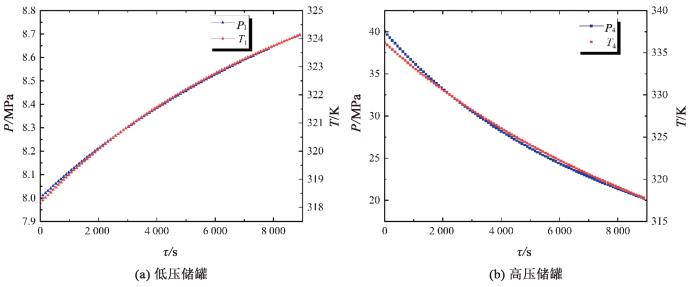
系统储能过程低高压储气罐的运行特性如图8所示。低压储罐的温度压力呈单边下降趋势,而高压储罐则正好相反。随着压缩过程的进行,低压储罐中的sCO2经过压缩机、换热器X进入高压储罐,这导致低压储罐中的sCO2含量逐渐减少。随着sCO2含量的减少低压储罐中的压力从8.700 MPa降低至7.983 MPa,温度从初始的318.15 K降低至312.3 K,这是由于sCO2的内能转化为推动功使其温度下降。相反高压储罐中的sCO2含量逐渐增多,导致其压力从20 MPa升高到40 MPa,温度也从318.15 K升至336.2 K,但在10 000 s附近趋势变化略有减缓。这是因为在压缩过程中进入高压储罐的sCO2的焓转化为整个储罐的sCO2的内能,当压缩时间短,储罐内的sCO2含量少,因此入口焓引起的温升变化较大。而随着压缩时间变长,储罐内sCO2含量升高,入口焓引起的温升就会减慢。
图8
图8
压缩过程储气罐的运行特性
Fig.8
Operating characteristics of the compressed air storage tank
图9
图10
图10
膨胀过程储气罐的运行特性
Fig.10
Operating characteristics of the gas storage tank during the expansion process
图11
4 结论
通过数值模拟的方法,建立了SC-CCES的动力学模型,对该模型进行了热力学第一定律的分析,并仿真获取了其动态特性,主要结论如下:
(1) SC-CCES系统在运行过程中符合热力学第一定律。换热器是能量输入、输出最大的部件且QX变化较QR而言更为剧烈,QX的变化受压缩机影响较大。
(2) 设计工况下SC-CCES系统储能效率为51.98%,储能密度为447.8 kWh/m3,该系统储能密度是传统CAES的20倍以上。随着高压储罐入口压力的提高,系统储能效率逐渐升高,储能密度逐渐下降,二者呈相反趋势。
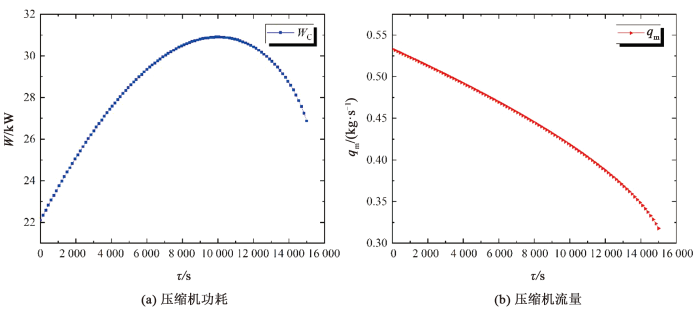
(3) 储能过程中WC呈先升后降趋势,压缩机流量
参考文献
Energy and exergy analysis of two modified adiabatic compressed air energy storage (A-CAES) system for cogeneration of power and cooling on the base of volatile fluid
[J].
Thermodynamic analysis of a novel liquid air energy storage system
[J].
Thermodynamic characteristics of a novel supercritical compressed air energy storage system
[J].
一种新型的跨临界CO2储能系统
[J].
Research progress on CO2 capture and utilization technology
[J].
Performance analysis of a novel energy storage system based on liquid carbon dioxide
[J].
Off-design performance and an optimal operation strategy for the multistage compression process in adiabatic compressed air energy storage systems
[J].
Off-design performance and operation strategy of expansion process in compressed air energy systems
[J].
First and second law analysis and operational mode optimization of the compression process for an advanced adiabatic compressed air energy storage based on the established comprehensive dynamic model
[J].
Energy and exergy analysis of adiabatic compressed air energy storage system
[J].
Preliminary design and performance assessment of compressed supercritical carbon dioxide energy storage system
[J].
Thermal-mechanical coefficient analysis of adiabatic compressor and expander in compressed air energy storage systems
[J].
Dynamic simulation of a re-compressed adiabatic compressed air energy storage (RA-CAES) system
[J].
Experimental study of compressed air energy storage system with thermal energy storage
[J].
/
| 〈 |
|
〉 |
