压缩sCO2储能系统动态特性仿真 |
| 姜佳晖, 王子杰, 池冉, 陈伟, 薛小代, 张通, 张学林, 张斌 |
|
Study on supercritical carbon dioxide energy storage system and its operating characteristics |
| JIANG Jiahui, WANG Zijie, CHI Ran, CHEN Wei, XUE Xiaodai, ZHANG Tong, ZHANG Xuelin, ZHANG Bin |
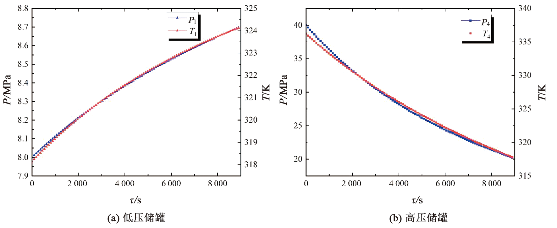
| 图10 膨胀过程储气罐的运行特性 |
| Fig.10 Operating characteristics of the gas storage tank during the expansion process |
|