山东科学 ›› 2026, Vol. 39 ›› Issue (2): 1-7.doi: 10.3976/j.issn.1002-4026.2025183

• 电子材料与器件 •    下一篇

环境水作用下多晶薄膜有机场效应晶体管性能变化及掺杂剂的调控作用

李京海(), 于伟泳*()   

  1. 山东大学 化学与化工学院, 山东 济南 250100
  • 收稿日期:2025-12-10 修回日期:2025-12-30 出版日期:2026-04-20 上线日期:2026-04-03
  • 通信作者: *于伟泳,教授,研究方向为光电纳米材料和器件。E-mail: wyu6000@gmail.com
  • 作者简介:李京海(1991—),博士,研究方向为场效应晶体器件制备及应用研究。E-mail: jinghaili@sdu.edu.cn
  • 基金资助:
    山东省博士后创新项目(SDCX-ZG-202301004);山东省博士后人才创新支持计划(SDBX2023043)

Performance variation of polycrystalline thin-film organic field-effect transistors under ambient moisture and the modulatory role of molecular dopants

LI Jinghai(), YU William W.*()   

  1. School of Chemistry and Chemical Engineering, Shandong University, Jinan 250100, China
  • Received:2025-12-10 Revised:2025-12-30 Published:2026-04-20 Online:2026-04-03

摘要:

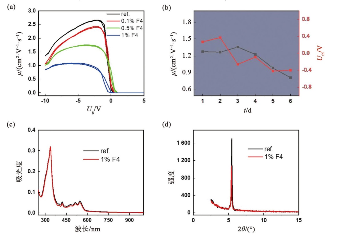
多晶有机薄膜半导体因兼具高载流子迁移率和低成本溶液加工优势而备受关注,但其电学性能对环境湿度高度敏感,严重制约了器件的长期稳定运行。针对这一关键科学问题,本研究系统研究了环境水分对基于有机半导体小分子/聚苯乙烯共混多晶薄膜有机场效应晶体管(OFET)电学性能的影响。研究结果表明,环境水分在器件中发挥着双重作用机制:一方面,水分子聚集于晶界及半导体/介电层界面,作为缺陷源引入额外陷阱态,导致载流子迁移率逐渐下降并引发阈值电压的正向漂移;另一方面,水的高介电常数所引起的极化效应可增强沟道载流子调制能力,从而暂时提升电流响应。然而,该极化过程本质上具有动态特性,最终导致器件参数的显著波动和长期电学不稳定性。为抑制水分诱导的不利影响,我们引入分子掺杂剂作为结构调控与界面稳定手段。尽管1%掺杂剂的引入导致晶粒尺寸减小并略微牺牲了器件的初始性能,但其有效钝化了晶界缺陷,显著抑制了水分相关的陷阱形成,从而大幅提升了器件在空气环境下的长期稳定性,使迁移率与阈值电压在长时间暴露后仍保持良好稳定。本研究揭示了环境水分在多晶OFET器件中同时充当“陷阱诱导源”和“极化介质”的本质作用机制,并提出了一种简便而有效的分子掺杂策略,为实现高性能且环境稳定的多晶OFET提供了新的设计思路。

关键词: 有机场效应晶体管, 多晶薄膜, 水极化, F4TCNQ掺杂, 环境稳定性

Abstract:

Polycrystalline organic semiconductor thin films have attracted increasing interest because of their high charge-carrier mobility and low-cost solution processability. However, their electrical performance is highly sensitive to ambient humidity, which severely limits long-term device stability. To address this challenge, this study systematically examines the influence of ambient moisture on the electrical characteristics of organic field-effect transistors (OFETs) based on small-molecule organic semiconductor/polystyrene-blended polycrystalline thin films. The results demonstrate that ambient moisture plays a dual role in device operation. On one hand, water molecules preferentially accumulate at grain boundaries and at the semiconductor/dielectric interface, where they act as defect sources that introduce additional trap states, leading to a gradual reduction in carrier mobility and a positive shift in threshold voltage. On the other hand, the polarization effect associated with the high dielectric constant of moisture enhances channel carrier modulation, resulting in a temporary increase in current response. Nevertheless, this polarization process is inherently dynamic, ultimately leading to pronounced fluctuations in device parameters and long-term electrical instability. To mitigate moisture-induced degradation, molecular dopants were introduced as a strategy for structural regulation and interface stabilization. Although the incorporation of 1% dopant reduces grain size and slightly compromises initial device performance, it effectively passivates grain-boundary defects and significantly suppresses the formation of moisture-related trap states. Consequently, device stability under ambient conditions is substantially enhanced, with both carrier mobility and threshold voltage remaining stable after prolonged air exposure. This study elucidates the fundamental role of ambient moisture as both a “trap-inducing source” and a “polarization medium” in polycrystalline OFETs, and proposes a simple yet effective molecular doping strategy for achieving high-performance, environmentally stable polycrystalline OFETs.

Key words: organic field-effect transistors, polycrystalline thin films, water-induced polarization, F4TCNQ doping, environmental stability

中图分类号: 

  • TN386

开放获取 本文遵循知识共享-署名-非商业性4.0国际许可协议(CC BY-NC 4.0),允许第三方对本刊发表的论文自由共享(即在任何媒介以任何形式复制、发行原文)、演绎(即修改、转换或以原文为基础进行创作),必须给出适当的署名,提供指向本文许可协议的链接,同时表明是否对原文作了修改,不得将本文用于商业目的。CC BY-NC 4.0许可协议详情请访问 https://creativecommons.org/licenses/by-nc/4.0