山东科学 ›› 2025, Vol. 38 ›› Issue (6): 94-106.doi: 10.3976/j.issn.1002-4026.20240144

• 能源与动力 • 上一篇    下一篇

基于APO-MVMD-Transformer的电缆故障定位方法

孙杰1(), 孙玉玮1, 胡国栋2,*(), 尹海海1, 蒋徐勇1, 马宏忠2   

  1. 1.国网江苏南通供电公司, 江苏 南通 226000
    2.河海大学 电气与动力工程学院, 江苏 南京 211100
  • 收稿日期:2024-12-11 出版日期:2025-12-20 上线日期:2025-09-18
  • 通信作者: 胡国栋 E-mail:seu_sunjie@163.com;2543085804@qq.com
  • 作者简介:孙杰(1991—),男,硕士,工程师,研究方向为架空输电线路和输电电缆的运维检修。E-mail:seu_sunjie@163.com
  • 基金资助:
    国网江苏省电力有限公司南通供电分公司科技项目(B71080242S59)

Cable fault location method based on APO-MVMD-Transformer

SUN Jie1(), SUN Yuwei1, HU Guodong2,*(), YIN Haihai1, JIANG Xuyong1, MA Hongzhong2   

  1. 1. State Grid Nantong Power Supply Company, Nantong 226000, China
    2. School of Electrical and Power Engineering, Hohai University, Nanjing 211100, China
  • Received:2024-12-11 Published:2025-12-20 Online:2025-09-18
  • Contact: HU Guodong E-mail:seu_sunjie@163.com;2543085804@qq.com

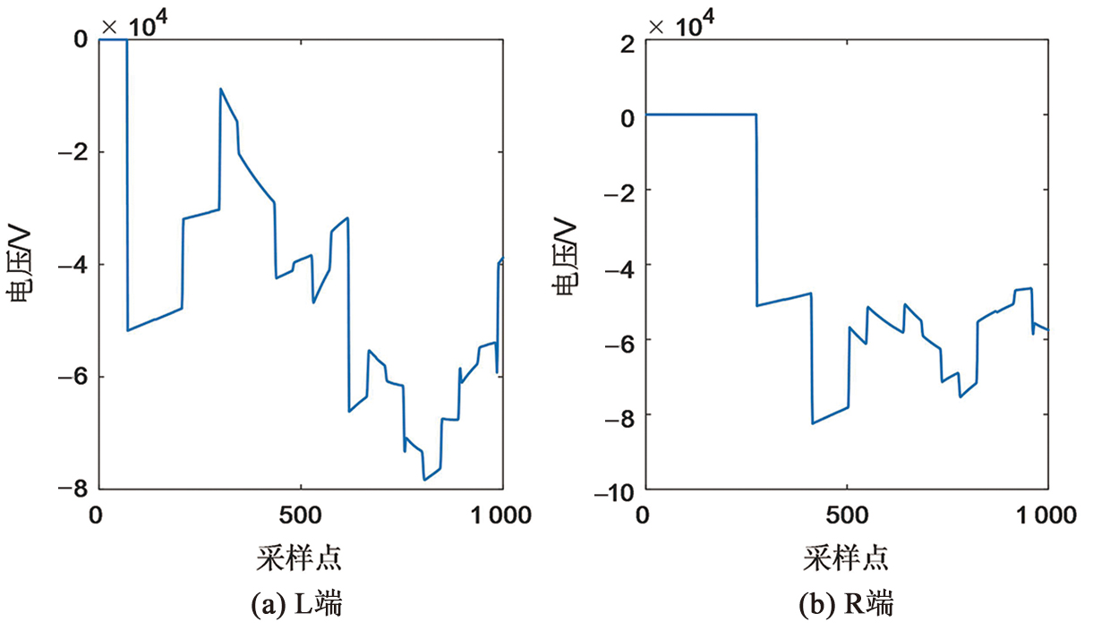
摘要: 针对现有电力电缆故障定位的准确率和可靠性均偏低的问题,提出一种基于APO-MVMD-Transformer的电缆故障定位方法。将采集到的电缆故障信号通过相模变换进行解耦得到故障行波信号,采用经北极海鹦优化算法(APO)寻优后的多元变分模态分解(MVMD)参数分解行波信号,通过Teager能量算子获取分解后的高频模态分量的瞬时能量变化,标定行波波头到达时刻,将时刻对应的采样点作为特征值构建特征数据集,再利用APO优化Transformer模型。最后将数据送入APO-Transformer定位模型中,实现电缆故障定位。结果表明,该定位模型的决定系数高达0.999 91,故障定位相对误差在1%以内,定位距离误差在百米以内,具有较高的故障定位精度。

关键词: 故障定位, 相模变换, 北极海鹦优化算法, 多元变分模态分解, Teager能量算子, Transformer模型

Abstract:

To address the low accuracy and reliability of existing power cable fault-location methods, a new cable fault-location method based on APO-MVMD-Transformer is proposed in this study. The collected cable fault signal is decoupled through phase-mode transformation to obtain the fault traveling wave signal. The Arctic puffin optimization (APO) optimized multivariate variational mode decomposition (MVMD) parameters are then used to decompose this traveling wave signal. The Teager energy operator is applied to extract instantaneous energy variations in the high-frequency modal components, allowing the identification of the wavefront arrival times. The sampling points corresponding to these times are then used as feature values to construct a feature dataset, which is further employed to optimize the APO-Transformed-based model. Finally, feature dataset are input into the APO-Transformer-based location model to locate cable faults. Results showed that the proposed model exhibited a coefficient of determination as high as 0.999 91, a relative fault-location error within 1%, and a distance error within 100 m, thereby demonstrating high fault location accuracy.

Key words: fault location, phase-mode transformation, Arctic puffin optimization, multivariate variational mode decomposition, Teager energy, Transformer

中图分类号: 

  • TM247

开放获取 本文遵循知识共享-署名-非商业性4.0国际许可协议(CC BY-NC 4.0),允许第三方对本刊发表的论文自由共享(即在任何媒介以任何形式复制、发行原文)、演绎(即修改、转换或以原文为基础进行创作),必须给出适当的署名,提供指向本文许可协议的链接,同时表明是否对原文作了修改,不得将本文用于商业目的。CC BY-NC 4.0许可协议详情请访问 https://creativecommons.org/licenses/by-nc/4.0